• まろりんの遊び場♪
スポンサードリンク

【入試準備編】次数下げ 

 Youtubeに投稿した「【入試準備編】次数下げ」です。
下に復習問題も載せてあります。日常学習に役立てば幸いです。
復習問題の解答は「解答のページ」をタップ、またはクリックしたリンク先にあります。

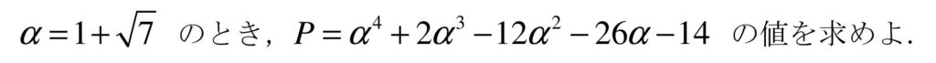
【復習用問題】

解答のページ

まとめページに戻る

スポンサードリンク

コメントを残す

メールアドレスが公開されることはありません。 が付いている欄は必須項目です