まろりんの遊び場♪
白銀の茶室
メニュー
トップページ
自己紹介
高校数学
大学受験数学
ブログ
解答速報もどき
藍様の式
スポンサードリンク
HOME
未分類
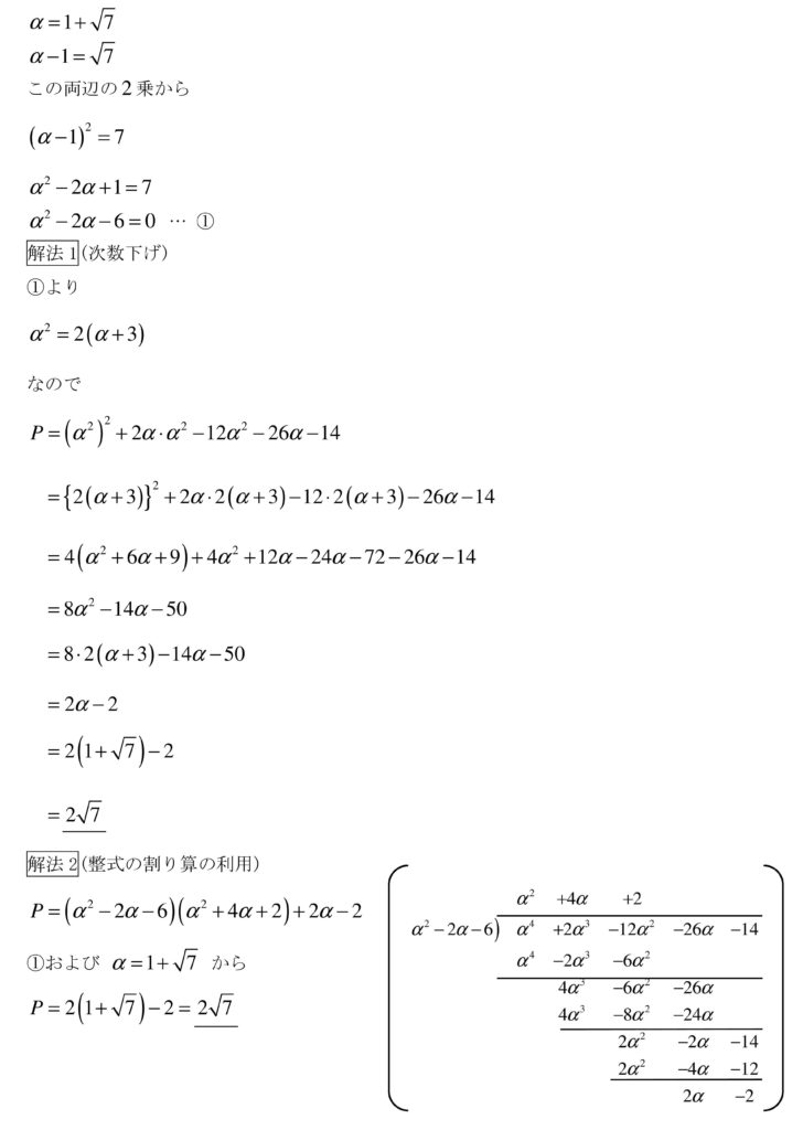
【入試準備編】次数下げ 復習問題の解答
【入試準備編】次数下げ 復習問題の解答
まろりん
2025年12月24日
スポンサードリンク
未分類
藍様の式
コメントを残す
コメントをキャンセル
名前
Δ