• まろりんの遊び場♪
スポンサードリンク

2025年 明治大学 理工学部(2月7日) 数学〔Ⅱ〕



三角形の内接円の問題と混同してしまいそうな問題。
(1)~(3)まではスムーズにいくが(4)で意外と見落としなどの差が付きそう。
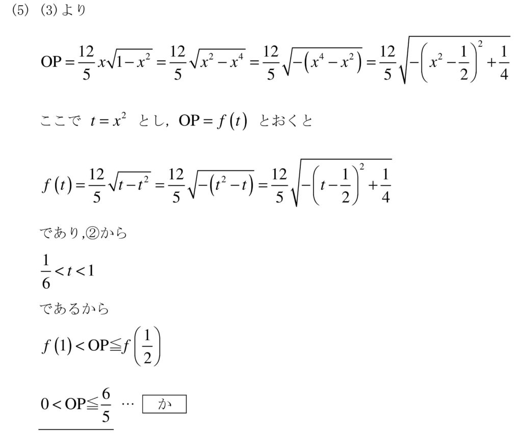
(4)さえ解けていれば(5)は特に難しくない。
(3)は△ABCの面積が△OABと△OACの面積の和と等しいことを利用しても求められそう。

前のページに戻る

スポンサードリンク

コメント一覧

よしき2025年2月9日 11:42 / 返信

(5)でtの定義域が1/6<t <1でf(x)に0を代入しているのはなぜですか

    まろりん2025年2月9日 11:45 / 返信

    f(1)の間違いです。 答えは変わりません(偶然f(0)=f(1)=0) ご指摘ありがとうございます。 修正します。

あおと2026年1月24日 23:45 / 返信

(5)で、6/5の方は<じゃなくて<=な気がします。

    まろりん2026年1月26日 12:07 / 返信

    ご指摘の通りです。 1/2の方はtの範囲に含まれる値なので、f(1/2)の方には=がつきますね。 ご指摘ありがとうございます。 修正いたしました。

コメントを残す