まろりんの遊び場♪
白銀の茶室
メニュー
トップページ
自己紹介
高校数学
大学受験数学
ブログ
解答速報もどき
藍様の式
スポンサードリンク
HOME
解答速報
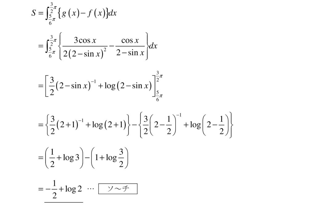
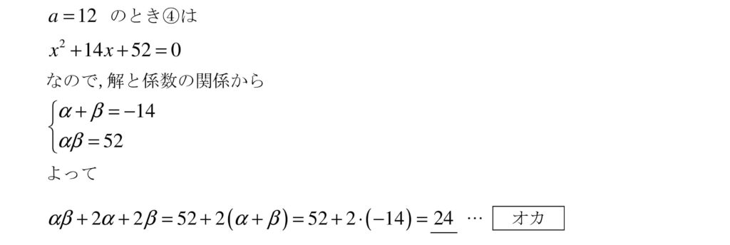
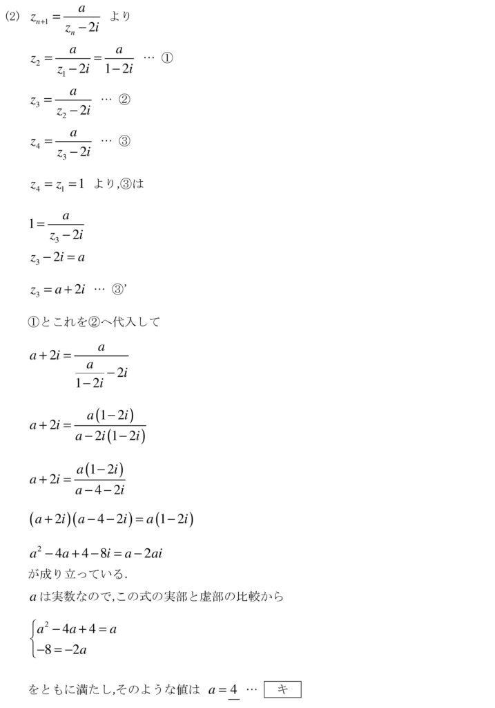
2026年 明治大学 理工学部(2月7日) 数学 1.
2026年 明治大学 理工学部(2月7日) 数学 1.
まろりん
2026年2月7日
(2)の前半(aの値を求めるところ)はもっと、何かきれいに解ける方法があるのかもしれない。
(4)は図のようなシンプルなことなのだが、言葉で伝わるように書くのって大変だなぁと思い知る。
スポンサードリンク
解答速報
コメント一覧
tbrkn18
2026年2月7日 21:36 /
返信
現役生です。解答速報助かってます 大門1の(4)の確率の解答速報もありますか? あったら公開して欲しいです よろしくお願いします
まろりん
2026年2月7日 21:41 /
返信
コメントありがとうございます。 問題の画像を提供いただいたときに(4)があったのを見落としていました。 これから解きます。
コメントを残す
コメントをキャンセル
名前
Δ
tbrkn182026年2月7日 21:36 /
現役生です。解答速報助かってます 大門1の(4)の確率の解答速報もありますか? あったら公開して欲しいです よろしくお願いします