• まろりんの遊び場♪
スポンサードリンク

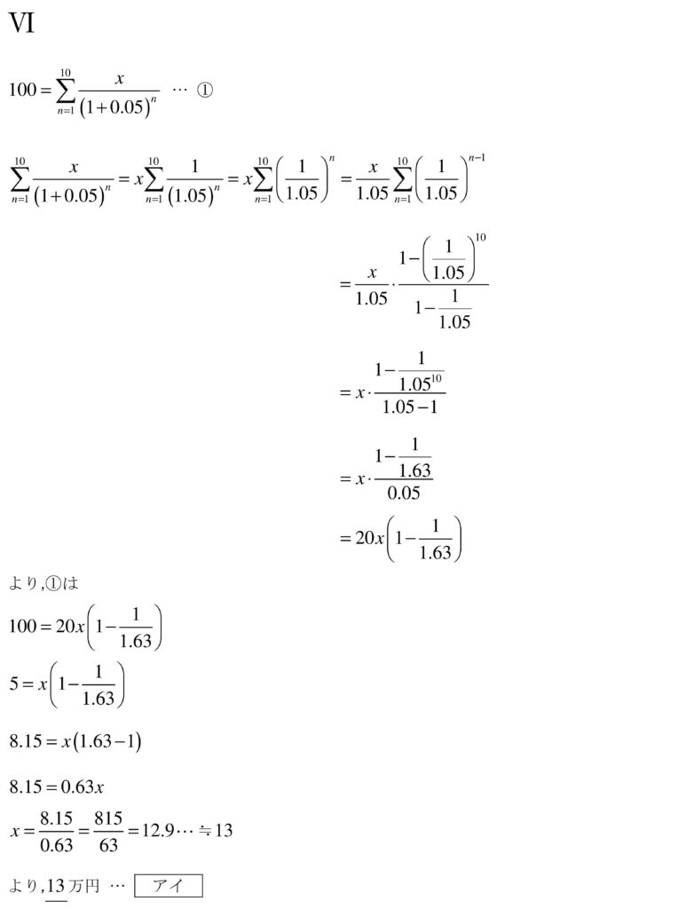
2026年 武蔵大学 国際教養学部経済経営学専攻(2月4日) 数学基礎 解答



いずれも教科書レベル、難しくて章末問題レベルの問題であるが、高校に入って数学が苦手、嫌いになるきっかけになるような問題が多い。Ⅵは自分で立式までさせれば差がつくのだろうが、複利計算の立式はしてくれているので難しくはない。

スポンサードリンク

コメントを残す