まろりんの遊び場♪
白銀の茶室
メニュー
トップページ
自己紹介
高校数学
大学受験数学
ブログ
解答速報もどき
藍様の式
スポンサードリンク
HOME
解答速報
2026年 芝浦工業大学(2月3日) 数学 4.
2026年 芝浦工業大学(2月3日) 数学 4.
まろりん
2026年2月5日
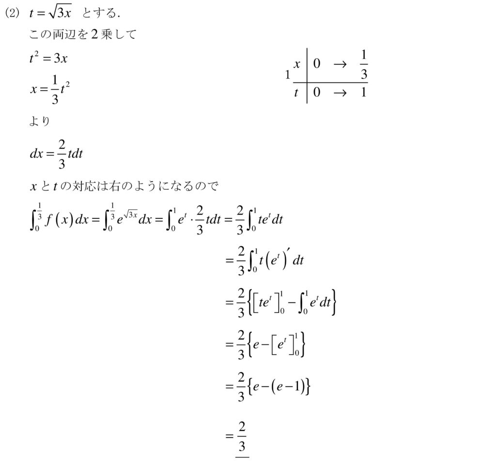
計算を丁寧にやれさえすればあとは特に難しくもない問題。
スポンサードリンク
解答速報
コメントを残す
コメントをキャンセル
メールアドレスが公開されることはありません。
※
が付いている欄は必須項目です
名前
メール
サイト
Δ