まろりんの遊び場♪
白銀の茶室
メニュー
トップページ
自己紹介
高校数学
大学受験数学
ブログ
解答速報もどき
藍様の式
スポンサードリンク
HOME
解答速報
2026年 芝浦工業大学(2月3日) 数学 2.
2026年 芝浦工業大学(2月3日) 数学 2.
まろりん
2026年2月5日
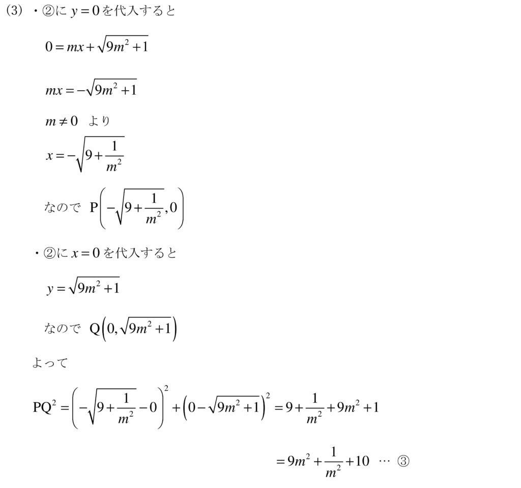
楕円とその接線に関する標準的な問題。
(3)は微分して増減を調べる方法もなくはないが、やはりこの形が出てきたら相加相乗をすぐ思いつきたい。
スポンサードリンク
解答速報
コメントを残す
コメントをキャンセル
名前
Δ