• まろりんの遊び場♪
スポンサードリンク

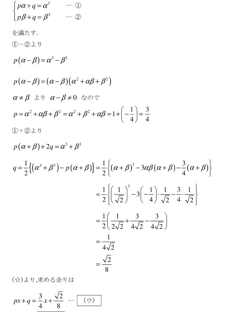
2026年 芝浦工業大学(2月3日) 数学 1.



(1)は解と係数と対称式に関するお約束の問題に三角比や整式の剰余の話を絡めた良い問題。
(2)はまずa,b以外を小さい順に並べてみて、大体のa,bの場所を把握するなど、これまたこの手の問題の重要な典型問題。

スポンサードリンク

コメントを残す