まろりんの遊び場♪
白銀の茶室
メニュー
トップページ
自己紹介
高校数学
大学受験数学
ブログ
解答速報もどき
藍様の式
スポンサードリンク
HOME
解答速報
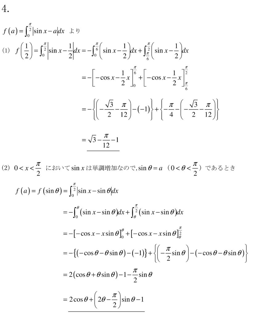
2026年 芝浦工業大学(2月4日) 数学 4.
2026年 芝浦工業大学(2月4日) 数学 4.
まろりん
2026年2月5日
(2)さえきちんと計算できれば特に詰まることはないはず。
ここ最近、芝浦の最後の問題はちょっと手加減して解きやすくしてくれているように感じる。
スポンサードリンク
解答速報
コメントを残す
コメントをキャンセル
名前
Δ