• まろりんの遊び場♪
スポンサードリンク

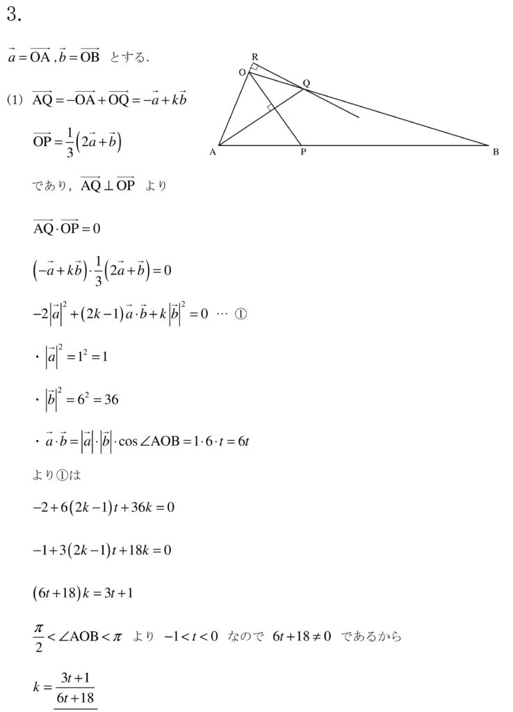
2026年 東京都市大学(2月2日) 数学 3.



(3)は相加相乗を利用する解法もあると思ったが、s<0であることなど、紛らわしいと思ったので微分で押し通したが、どっちが良かったのか、それとももっときれいな方法があるのか分からない。

前のページへ戻る

スポンサードリンク

コメントを残す