まろりんの遊び場♪
白銀の茶室
メニュー
トップページ
自己紹介
高校数学
大学受験数学
ブログ
解答速報もどき
藍様の式
スポンサードリンク
HOME
解答速報
2026年 東京都市大学(2月2日) 数学 2.
2026年 東京都市大学(2月2日) 数学 2.
まろりん
2026年2月3日
(1)は意外とフリーズした受験生がいそうな問題。
(2)は線形計画法の典型問題。
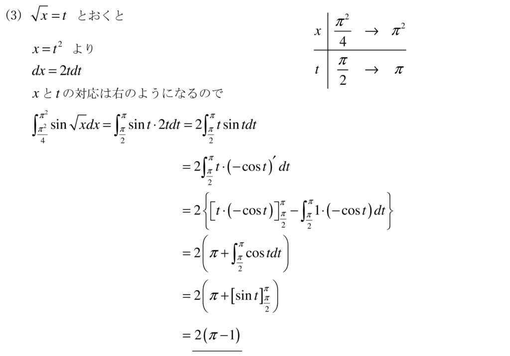
(3)は置換せずにやって事故った受験生がいそう。
前のページへ戻る
スポンサードリンク
解答速報
コメントを残す
コメントをキャンセル
名前
Δ