• まろりんの遊び場♪
スポンサードリンク

2026年 芝浦工業大学(2月2日) 数学 3.



(1)は前半が正弦定理が大活躍する問題だった。
大抵は余弦定理を使おうとするが、正弦定理の良いところは一次式で済むところ。
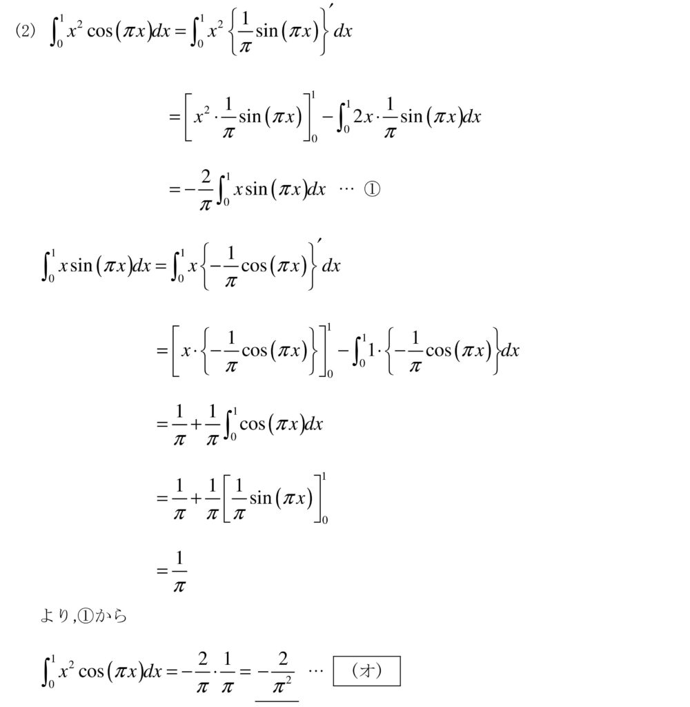
(2)はなんか、おまけでくっついてきた問題みたいで部分積分を2回行う問題の典型問題で特に難しいことはない。

前のページへ戻る

スポンサードリンク

コメントを残す

メールアドレスが公開されることはありません。 が付いている欄は必須項目です