まろりんの遊び場♪
白銀の茶室
メニュー
トップページ
自己紹介
高校数学
大学受験数学
ブログ
解答速報もどき
藍様の式
スポンサードリンク
HOME
解答速報
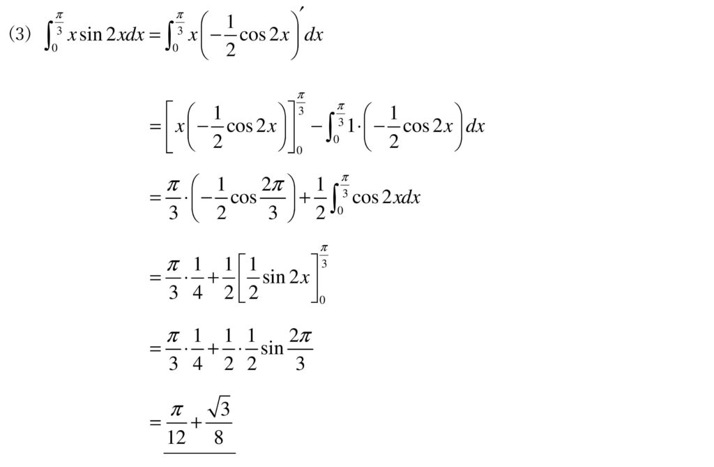
2026年 東京都市大学(2月1日) 数学 2.
2026年 東京都市大学(2月1日) 数学 2.
まろりん
2026年2月2日
大問1同様の小問集合。大問1に比べるとこっちの方が「おなじみの問題」感が強い。
(1)はグラフで解くか、式処理で解くか迷った。
前のページに戻る
スポンサードリンク
解答速報
コメントを残す
コメントをキャンセル
名前
Δ