まろりんの遊び場♪
白銀の茶室
メニュー
トップページ
自己紹介
高校数学
大学受験数学
ブログ
解答速報もどき
藍様の式
スポンサードリンク
HOME
解答速報
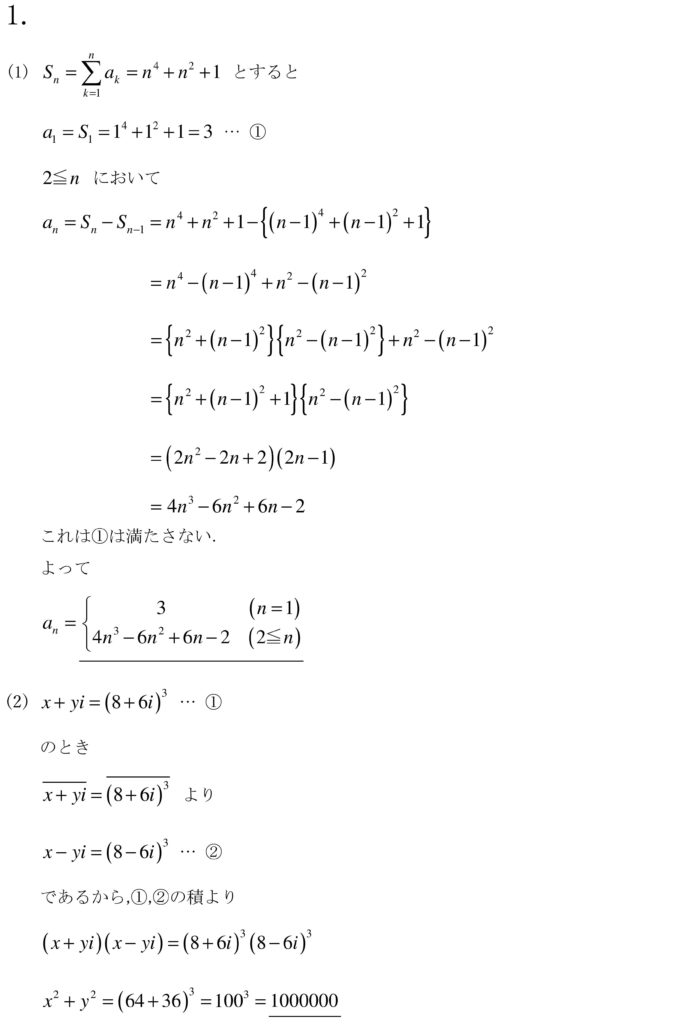
2026年 東京都市大学(2月1日) 数学 1.
2026年 東京都市大学(2月1日) 数学 1.
まろりん
2026年2月2日
(1),(2)はストレートにやろうとしてとんでもない計算になった受験生が多そう。
特に(2)のような解法は苦手な受験生が多い印象。
前のページに戻る
スポンサードリンク
解答速報
コメントを残す
コメントをキャンセル
名前
Δ