まろりんの遊び場♪
白銀の茶室
メニュー
トップページ
自己紹介
高校数学
大学受験数学
ブログ
解答速報もどき
藍様の式
スポンサードリンク
HOME
解答速報
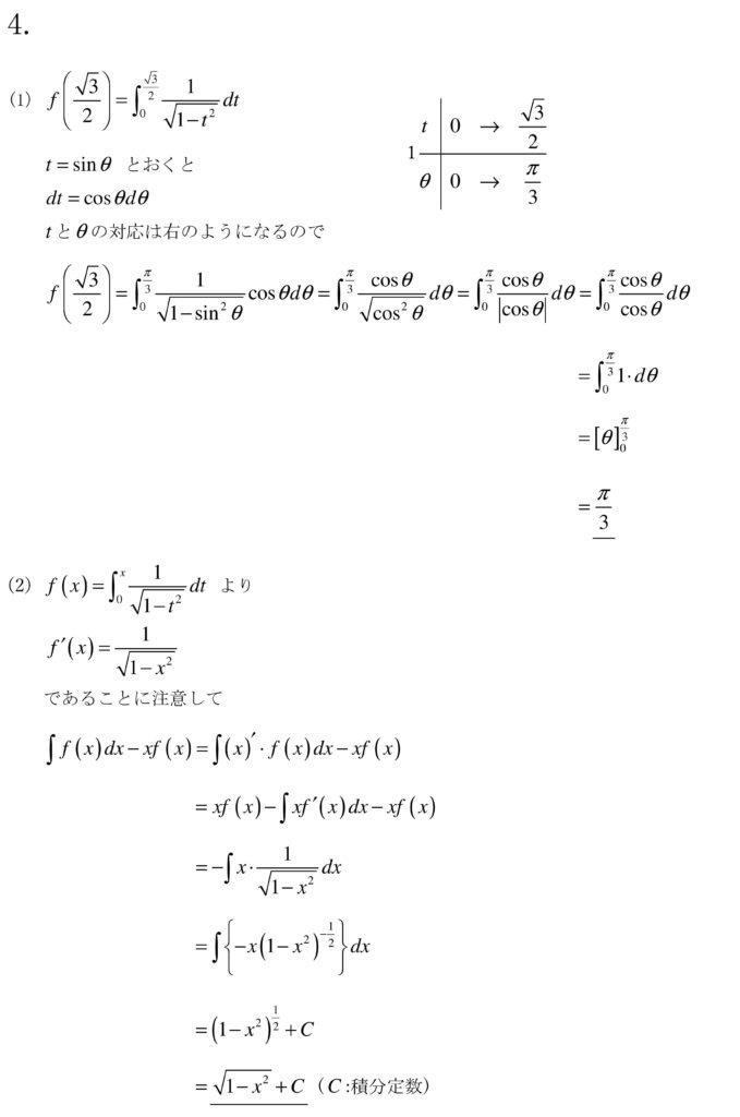
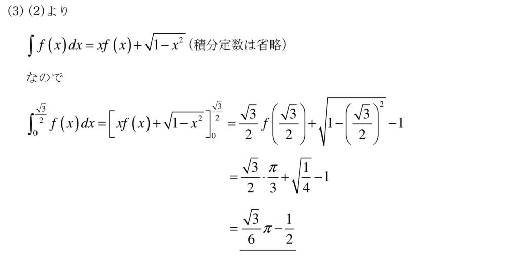
2026年 芝浦工業大学(2月1日) 数学 4.
2026年 芝浦工業大学(2月1日) 数学 4.
まろりん
2026年2月2日
図やグラフも必要ない問題で拍子抜けしている(笑)
本当に何か見落としているんじゃないかと不安になる。
たまに芝浦は最後の問題がめちゃくちゃ簡単な時がある。
前のページへ戻る
スポンサードリンク
解答速報
コメント一覧
そろすを
2026年2月2日 11:09 /
返信
4の(2)なんですが、−√(1−x^2)+C ではないですか…? 不定積分を崩す時に−を消しているように思います、自分の間違いかもしれませんがご確認お願いします🙏
まろりん
2026年2月2日 14:36 /
返信
今回ルートの中の式が1-x^2なので、合成関数の微分をすると-2xをかけることになるため-を取っているのでおそらくあっていると思います。 √(1-x^2)=(1-x^2)^(1/2)をxについて微分すると 1/2(1-x^2)^(-1/2)×(-2x)=-x(1-x^2)^(-1/2) のように元に戻ります。
あああ
2026年2月2日 13:57 /
返信
(2)の積分定数は最後の式に0を左辺右辺に代入して求めることができませんか?
まろりん
2026年2月2日 14:31 /
返信
おそらく0から0までの区間の積分は0になることを利用してCの方程式を作る解法の話だと思うのですが、 f(0)=0ですが、∫f(x)dx-xf(x) にx=0を代入した値は与えられていないので今回は使えないと思います。
匿名
2026年2月2日 17:46 /
返信
積分定数忘れちゃった
まろりん
2026年2月2日 19:54 /
返信
もったいないミスをしてしまいましたね。 とはいえ部分点はもらえるでしょうし、そこができていれば次の問題も取れていると思いますので、切り替えて次の試験に向けて頑張って下さい!
匿名
2026年2月3日 13:20 /
返信
あああさんと全く同じことをしてしまいました。やっぱりダメですかね?
まろりん
2026年2月3日 13:46 /
返信
∫f(x)dx-xf(x) にx=0を代入した値はが分からないのでそもそも、x=0を代入しても ∫f(0)dx=C ∫0dx=C となり、左辺(微分して0になるもの)がはっきりとした値でないかぎり、何らかの定数という扱いの積分定数Cとしか言いようがないです。
コメントを残す
コメントをキャンセル
名前
Δ
そろすを2026年2月2日 11:09 /
4の(2)なんですが、−√(1−x^2)+C ではないですか…? 不定積分を崩す時に−を消しているように思います、自分の間違いかもしれませんがご確認お願いします🙏