まろりんの遊び場♪
白銀の茶室
メニュー
トップページ
自己紹介
高校数学
大学受験数学
ブログ
解答速報もどき
藍様の式
スポンサードリンク
HOME
解答速報
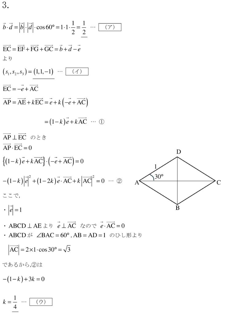
2026年 芝浦工業大学(2月1日) 数学 3.
2026年 芝浦工業大学(2月1日) 数学 3.
まろりん
2026年2月2日
頑張って計算していけば特に問題なく解けるはず、な問題。
直角も多いので内積の計算もそこまで煩雑にはならないので、丁寧な計算が大事。
前のページへ戻る
スポンサードリンク
解答速報
コメントを残す
コメントをキャンセル
名前
Δ