• まろりんの遊び場♪
スポンサードリンク

2026年 芝浦工業大学(2月1日) 数学 2.



複素数を絡めた漸化式の問題。
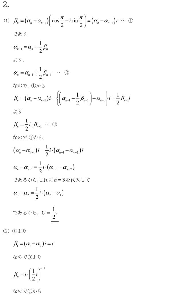
(1)は{βn}の公比を求めているだけということに気付かず、各項の値をガチ計算して時間をとられた受験生も多そう。
(2)もただの階差数列だが、第0項が初項のタイプなので書き間違えに注意したい。
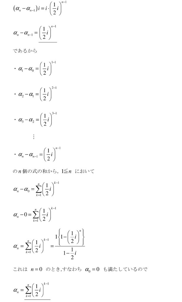
そのため今回はn個の漸化式を全部書き上げた。
また、問題にΣで表せと言われているので、第0項も満たしている確認も一応書いた。
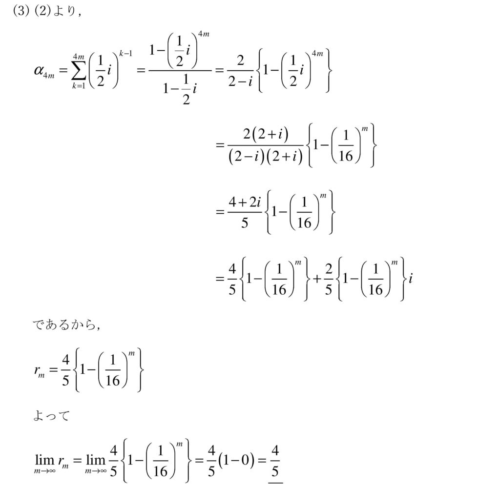
(3)は(2)まで解ければ特に難しくない問題。

前のページへ戻る

スポンサードリンク

コメントを残す