まろりんの遊び場♪
白銀の茶室
メニュー
トップページ
自己紹介
高校数学
大学受験数学
ブログ
解答速報もどき
藍様の式
スポンサードリンク
HOME
未分類
2026年度 神奈川大学 給費生試験 文系数学[1]
2026年度 神奈川大学 給費生試験 文系数学[1]
まろりん
2025年12月21日
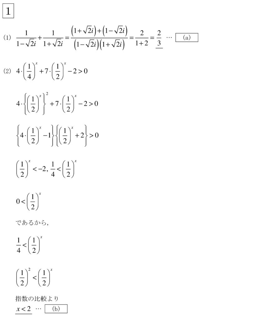
どれも落としたくない基本問題。
前のページに戻る
スポンサードリンク
未分類
コメントを残す
コメントをキャンセル
メールアドレスが公開されることはありません。
※
が付いている欄は必須項目です
名前
メール
サイト
Δ