まろりんの遊び場♪
白銀の茶室
メニュー
トップページ
自己紹介
高校数学
大学受験数学
ブログ
解答速報もどき
藍様の式
スポンサードリンク
HOME
解答速報
2023年 芝浦工業大学 全学部(2月4日) 数学 4.
2023年 芝浦工業大学 全学部(2月4日) 数学 4.
まろりん
2023年2月7日
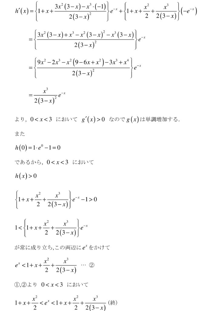
(2)のh(x)を単純に、示したい不等式の(右辺)-(中央)でやってしまうと面倒になる。
(1)をヒントに、解答のようにやるときれいに単調増加が調べられる。
前のページに戻る
スポンサードリンク
解答速報
コメント一覧
喜矢武 玉
2026年1月22日 11:59 /
返信
h´(X)=2(3-x)二乗分のx3乗ではないでしょうか。違ってたらすいません
まろりん
2026年1月26日 11:46 /
返信
計算し直した結果、たしかに分子のx^3の係数の5はつきませんでした。 ご指摘ありがとうございます! 修正しました。
コメントを残す
コメントをキャンセル
名前
Δ
喜矢武 玉2026年1月22日 11:59 /
h´(X)=2(3-x)二乗分のx3乗ではないでしょうか。違ってたらすいません