• まろりんの遊び場♪
スポンサードリンク

2024年 芝浦工業大学(2月2日) 数学 4.



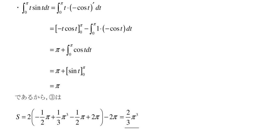
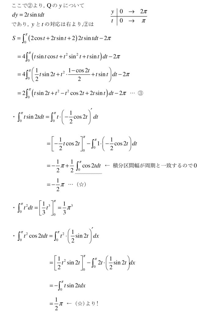
(2)までは丁寧に計算して落とさないようにしたい。
(3)はdxで積分すると2<xの部分の引くところが面倒そうなので,dyで積分する方でやって、それでも面倒かな、とも思ったが、部分積分の結果同じ積分や、0になる式が出てきて意外と計算は難しくなかった。
※(3)を2025.01.30に修正しました。
※(3)を2025.12.02に再度修正しました。

前のページに戻る

スポンサードリンク

コメント一覧

フマキラー2024年4月22日 11:21 / 返信

受験生です。いつも使わせていただいてます。 質問なのですが、(3)の極方程式の面積の公式で、tは偏角じゃないのに使っていいんですか? r=f(θ)のθはtanθ=y/xを満たしてないと極方程式にならないと思ったのですが...

    まろりん2024年11月12日 10:35 / 返信

    ご指摘ありがとうございます。 そうですね。 媒介変数と混同していました。 解きなおして修正します。

匿名2025年1月30日 13:33 / 返信

2/3×π^3 になるのでは!?

    まろりん2025年1月30日 20:53 / 返信

    (3)の答えですよね? 解き直し修正した結果その数値になりました。

匿名2025年11月25日 20:50 / 返信

曲線C2の面積をy軸に沿って0~2πまで積分したいために、x-(-2)としたんですよね? x-(-2)=x+2なので、問題文の媒介変数の式より、x=2cost+2tsint なので、インテグラルの中身は、”2cost+2tsint-2” ではなく、”2cost+2tsint+2” ではないですか? Sの計算の最後で、(式中の 1/2 を処理するために)、インテグラルの前の係数を4→2に変換していますが、この時、大3項目の計算が間違っていると思います。-tSintではなくて、-2tSintではないでしょうか? 私も、計算に自信がないのですが、上記考慮してけいさんすると、2π^3/3-8π になりました。

    まろりん2025年12月2日 16:45 / 返信

    コメントありがとうございます。 ご指摘の通り,2cost+2tsint+2でした。 そして、それを修正して再度計算し直したところ、 (t^2)cos2tの積分の値は正しかったのに、符号を間違えていたこと、 また,tsintの部分積分の前半部分の符号も間違えており、それらを全部修正したところ、偶然元の答えと同じになりました。 いずれにせよ、ご指摘いただいたおかげで完全な答案になりました。 ありがとうございます。

コメントを残す