まろりんの遊び場♪
白銀の茶室
メニュー
トップページ
自己紹介
高校数学
大学受験数学
ブログ
解答速報もどき
藍様の式
スポンサードリンク
HOME
解答速報
2026年 成蹊大学 理工学部(2月10日)[1]
2026年 成蹊大学 理工学部(2月10日)[1]
まろりん
2026年2月11日
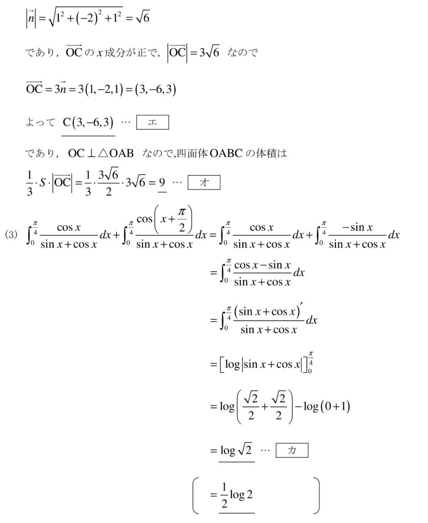
(1)はよくある軌跡の問題。
(2)は外積をうまく使いたい。
(3)は意外と、ひとつづつやろうとして時間を取られた受験生がいそう。
スポンサードリンク
解答速報
コメントを残す
コメントをキャンセル
名前
Δ