• まろりんの遊び場♪
スポンサードリンク

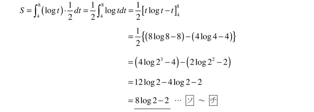
2026年 東洋大学 (2月9日) 数学理系〔Ⅲ〕



特にひねりのある部分もなく、各問い丁寧に計算さえできれば特に難しいことはない。
(3)は置換積分せずに合成関数の微分の引き戻しでそのまま積分することもできるが、真数が2x+3なので、こういう微妙に事故るかもしれないときは、多少時間をとられても置換積分するほうが安全。

スポンサードリンク

コメントを残す