まろりんの遊び場♪
白銀の茶室
メニュー
トップページ
自己紹介
高校数学
大学受験数学
ブログ
解答速報もどき
藍様の式
スポンサードリンク
HOME
解答速報
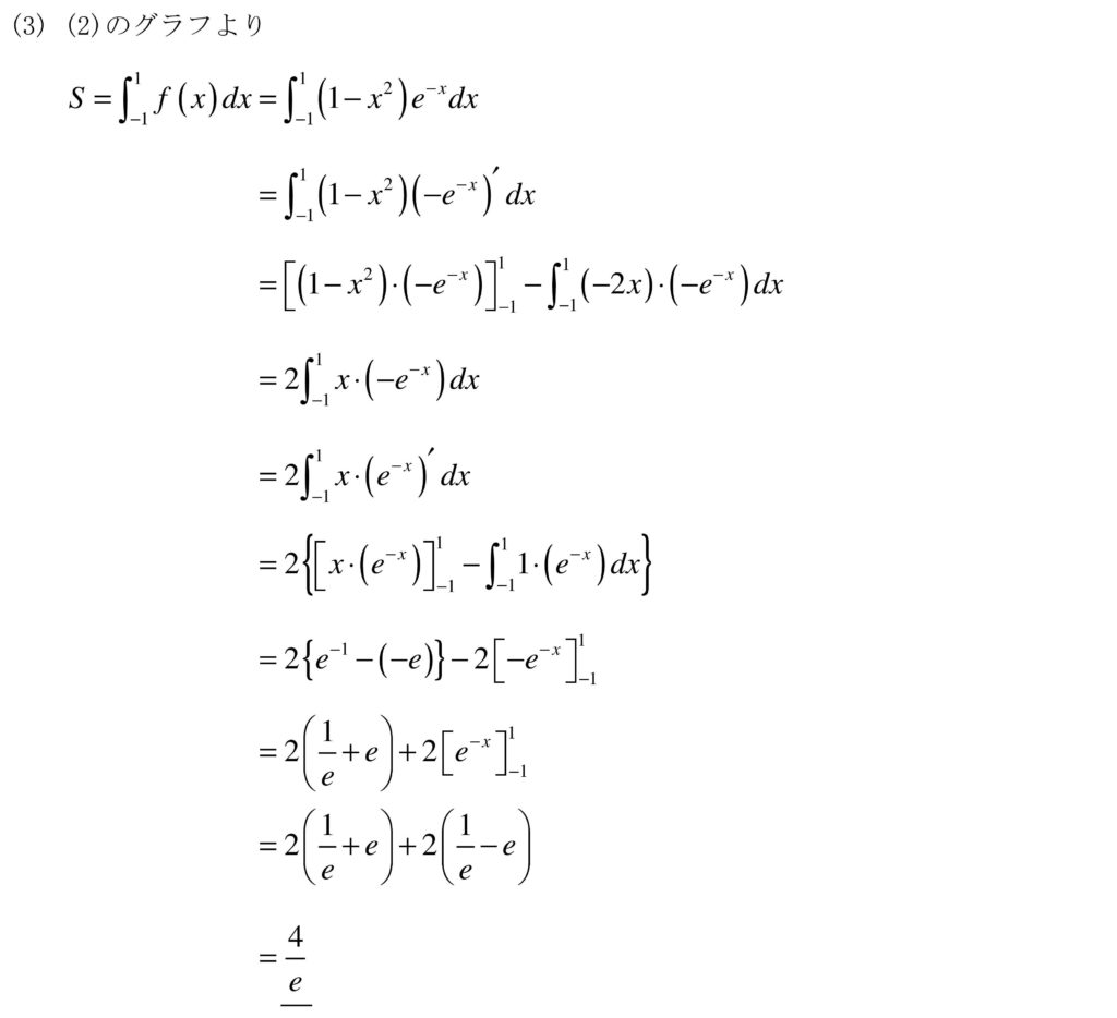
2026年 東京都市大学(2月3日) 数学 4.
2026年 東京都市大学(2月3日) 数学 4.
まろりん
2026年2月6日
グラフは違うが、2月2日の大問4も(1),(2)の流れで同じような問いの構成だった。
同じ人が作ったのかもしれない。
スポンサードリンク
解答速報
コメントを残す
コメントをキャンセル
名前
Δ