• まろりんの遊び場♪
スポンサードリンク

2026年 芝浦工業大学(2月4日) 数学 3.



(1)は最終的にはただの線形計画法のシンプルな問題だが、4つ目の式の処理と、その中で共通部分をもつ部分を考えられたかで出来が分かれたと思う。
(3)は分母のzを払ってzの二次方程式にして解の公式でも解けそう。
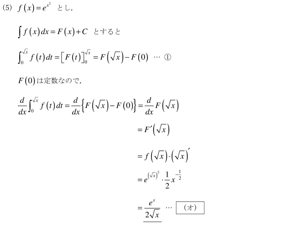
(4),(5)は記述じゃないので「えい!」「やあ!」でさっさと答えて終わらせてもいいと思ったが、きちんと答案を作ってみた。

スポンサードリンク

コメントを残す